原文:《保本保收益?——鲨鱼鳍理财科普》
一、前言
很多中心化交易所都有推出自己的鲨鱼鳍理财产品,产品的收益率曲线像一个鲨鱼鳍,因此得名鲨鱼鳍理财,其特点是在保本保收益的基础上在标的价格区间内给理财产品购买者提供了更高的收益。
这篇文章的主要目的是为了科普鲨鱼鳍理财背后的金融逻辑,以及让用户明白鲨鱼鳍理财的收益来源,以及交易所又如何通过鲨鱼鳍理财获得收益。
我一直很喜欢一句话“如果你不知道收益的来源是什么,那么你就是收益来源。”。
如果你曾经购买过鲨鱼鳍理财,或者打算购买鲨鱼鳍理财,这篇文章值得你仔细阅读
二、什么是鲨鱼鳍理财
大多数用户在中心化交易所(CEX)看到的鲨鱼鳍理财,其本质都是由一个固定收理财 + 鲨鱼鳍期权组成。
鲨鱼鳍期权
鲨鱼鳍期权又称为敲出期权(knock-out options),属于障碍期权 (barrier options) 的一种。期权合约会事先设置好标的资产的价格区间,如果在合约约定的时间范围内,标的资产价格始终处于该区间中,这个期权就是一个普通的看涨或看跌期权;一旦标的资产价格跳出了该区间,该期权将自动敲出作废敲出期权根据大家的多空方向不同,又可以分为向上 / 向下敲出 + 看跌 / 看涨期权。其背后的逻辑是一样的,因此下面我们就以向上敲出看涨期权为例来介绍。
如下图所示,是一份向上敲出看涨期权的收益与标的价格关系图。横坐标为标的资产价格,纵坐标为这份期权的收益。
这份看涨期权的行权价格为 X,敲出价格为 Y,标的资产价格为 S,期权的价格为 C。
假设这是一份欧式看涨期权(只有到期日才能行权),
如果到期日的标的资产价格未超过 Y。
如果 S>X, 则收益为 S-X-C,最大收益为 Y-X-C
如果 S
如果到期日标的资产价格超过 Y,则期权被敲出,
S>Y, 则收益为 -C
也就是说,当你购入你一份向上敲出鲨鱼鳍期权,在期权到期日如果标的资产价格在[X+C,Y] 之间,你是能获利的,在此区间外你会承受购买期权费的损失。
看到这你可能会有疑问,明明你购买的交易所鲨鱼鳍理财都是保本的,最坏的情况也不会亏,怎么跟上面说的不太一致。所以这里就要引入另一个概念,固定收益产品。
固定收益产品
传统概念中的固定收益产品可以理解为将大部分资金(80% 以上)投入债券、大额存单、信托资管计划等标的的理财产品。风险较低,收益也相对较小。如果投资的标的是国债等资产,就可以理解为无风险的保本理财。比如你现在去买期限为一年的美国国债,你的保本无风险收益大概是 4.6%(现在明白加息的威力了吧)。
而对于中心化交易所来说,他们的选择就更多了,不论是自身交易所提供的杠杆借贷业务还是去链上 DEFI 应用中寻找风险较低的收益策略,都能获得不错的低风险收益(肯定比国债高得多)
用户购买鲨鱼鳍理财的大部分资金会被用于投资固定收益类产品,这部分收益的产品能够覆盖鲨鱼鳍期权的购买成本并且提供不错的“保底”收益。
当购买的用户多了,就有了规模效应,简单理解就是你拿着一万元去银行存定期可能只能有 2.5% 的年化收益率,但是如果你有一个亿你去找银行谈,银行可能可以给你 5% 的收益率。这也是为什么你发现有时候鲨鱼鳍理财提供的保底收益比你自己找到的还要多。规模效应是原因之一,当然还有其他更多诸如加杠杆等其他原因,这里就不深入了。
三、鲨鱼鳍理财各方收益测算
了解了基础知识,下面以一个模拟的案例为例,为你测算购买鲨鱼鳍理财后,你的收益以及中心化交易所的收益分别是如何构成的,看完后相信你能对这个理财产品有更充分的认识。
理财产品细节
下图为某交易所提供的理财产品
从产品介绍中你能看出,这个收益图很像是一份带了敲入和敲出价格的看涨鲨鱼鳍期权。当结算日 BTC 价格在 26300-28300 之间时你能获得的收益在 5.02%-19.0% 之间。如果价格在此区间之外,那么你的收益是 5%。
情景模拟
下面会模拟一个用户购买鲨鱼鳍理财后,交易所构建理财底层资产的过程,因为无法得知交易所背后具体的投资标的,因此只能从市场上找相关类似的投资标的来进行模拟,最后得出的各方收益不代表真实结果。
假设用户买入 100,000U 的鲨鱼鳍理财,交易所会把这 100,000U 分成两部分,一部分进行固定收益投资,此部分构成了鲨鱼鳍理财的保底部分,一部分去构建一个期权组合,这部分构成了鲨鱼鳍的鳍状部分。
1、投资者角度
如果到期日 BTC 价格低于 26300 或者高于 28300,用户的年化收益率都是 5%,也就是说用户可以收到的钱是 100,000*(1+5%*7⁄365)=100,095.89 元
如果到期日 BTC 价格在区间范围内,假设为 27300,那么用户的收益为 100000*(1+12%*7/365)=100230.3288U
2、交易所角度
对于投资者来说,不论什么情况,都是赚钱的,只是赚多赚少的问题。但是交易所不是慈善机构,交易所也一定是赚钱的,下面来看看交易所怎么赚钱。
前面说了,交易所会拿投资者的大部分资金投资于固定收益类产品,少部分钱去买鲨鱼鳍期权。加密货币行业目前我没有发现哪里有公开渠道在卖鲨鱼鳍期权,所以大多数交易所要么是自己在卖鲨鱼鳍期权,或者是用市场上现有的产品去构造 (Synthetic Options)(这部分我不是 100% 确定,有交易所的朋友欢迎指正)。
交易所赚钱有两个关键点:
• 足够高的固定收益
• 最精确的鲨鱼鳍期权定价
因为鲨鱼鳍理财要保底,所以必须保证固定收益部分的收益要大于购买或构造鲨鱼鳍期权的成本。
固定收益部分比较好解决,我们假设交易所手上的 U 的年化收益有 10%(相对低风险,愿意承受高风险的话收益率可以更高,这里我们假设交易所还是稳健风格为主)
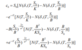
鲨鱼鳍期权的价格计算方式大概有三种:
• 公式计算
• 蒙特卡洛模拟
• 用其他期权构造
公式计算和蒙特卡洛模拟相对复杂,我可以放一个计算公式的截图,你看完就不想再了解了,下图是向上敲出看涨期权的期权定价公式:
重点说说 (Synthetic Options) 期权构造的方式,因为我暂时没想到什么方法用香草期权完美复制鲨鱼鳍期权的方法,所以这里用一种近似模拟的方式用香草期权来模拟鲨鱼鳍期权,这也是最不精确的一种方式,但今天的目的是科普,而不是学术讨论,大家明白大概意思就行。
还是以我们上面假设的案例为例,交易所可以通过普通的看涨期权来模拟出最终收益曲线与鲨鱼鳍期权近似的产品。交易所可以买入一份行权价为 26300 的看涨期权,再卖出两份行权价为 28300 的看涨期权。以此来模拟一份鲨鱼鳍期权。以 Bybit 提供的期权价格为例,上面这个模拟鲨鱼鳍看涨期权的价格约为 1570-2*584=402U。当市场波动率处于正常水平时这个模拟产品的价格会高于真正的鲨鱼鳍期权,所以大概率交易所构造这个期权的成本会更低。
前置科普工作完成,下面我们都来当一次交易所,帮投资者构造一个鲨鱼鳍产品。
交易所拿到用户前面投资的 100,000U 之后,可以拿出其中的 92.46U 去购买 0.23 个我们前面构造的模拟鲨鱼鳍期权。剩下的 99,907.54U 拿去投资 DEFI 固定收益类产品,年化收益为 10%。
来看看 7 天,产品到期后会发生什么
情景一
如果到期日 BTC 价格低于 26300,投资者可以得到100,095.89U。交易所通过投资这 100,000 得到的钱为
固定收益部分:99907.54*(1+10%/365*7)=100,099.14U,
鲨鱼鳍期权部分:0U
这种情况最终交易所赚了 4U。
情景二
如果到期日 BTC 价格为 27300,投资者可以得到100230.33U。交易所通过投资这 100,000 得到的钱为
固定收益部分 99907.54*(1+10%/365*7)=100,099.14U
鲨鱼鳍期权部分:0.23*(27300-26300)=230U
这种情况最终交易所赚了99.47U。
情景三
如果到期日 BTC 价格为 29000U,投资者可以得到100,095.89U。交易所通过投资者 100,000 得到的钱为
固定收益部分 99907.54*(1+10%/365*7)=100,099.14U
鲨鱼鳍期权部分:0.23*(28300-26300)-0.23*(29000-28300)=299U
这种情况最终交易所赚了302.25U
至此,交易所通过固定收益 + 期权的方式实现了在不同情形下都赚钱的策略。
四、总结
总的来说,鲨鱼鳍理财的实质就是投资者购买了固定收益理财 + 鲨鱼鳍期权。而 *对于交易所来说,是否能够赚钱以及赚钱的本质其实来源于交易所是否能够找到尽可能低风险但是高收益的 DeFi 收益产品,以及是否能够以足够低的价格或者成本构造出鲨鱼鳍期权。因为前面我们假设交易所能以 10% 的收益率进行 USDT 的固定理财投资,但如果这个收益率下降为 5%。那么上述的几种情况交易所是会亏钱的。
回到我最初说的一句话“如果你不知道收益的来源是什么,那么你就是收益来源” ,看到这聪明的朋友已经发现了,其实鲨鱼鳍理财并不是 100% 的保本。你可以想象一下交易所如果为了获取较高的固定收益,把你的 USDT 换成了 UST,投入了 Terra,换取年化 20% 的收益,之后会发生什么。这种时候,有良心,想持续经营的交易所会选择自己垫钱,刚性兑付,那还能实现保本。但更有可能的情况是什么,大家这两年应该也看到了。
最后的最后,其实明白鲨鱼鳍理财的原理并不能让你赚的更多,就像我看似挺懂原理的,但交易所也不会因为我更懂就给我更高的收益率。
但我认为我们应该为自己做的每一笔投资负责,了解底层逻辑不是为了赚的更多,而是为了当有一天有人拿着一个很吸引人的理财产品摆到你面前时,你能很快的反应出其中的风险点,避免上当受骗。
愿人人会两袖青蛇,愿人人可剑开天门

